[ベスト] y=tan^-1(2x/1-x^2) find dy/dx 311515-Y=tan^-1(2x/1-x^2) find dy/dx
Web Period It's definitely not sec − 2 x That's just pure nonsense In fact, if you are thinking of tan − 1 x as the reciprocal of the tangent function, then the derivative of 1 tan xWebAnswer to Find dy / dx y = (x 1)^2 (x^2 1)^{3} By signing up, you'll get thousands of stepbystep solutions to your homework questions YouWebCalculus Find dy/dx y^2=1/ (1x^2) y2 = 1 1 − x2 y 2 = 1 1 x 2 Differentiate both sides of the equation d dx (y2) = d dx ( 1 1−x2) d d x ( y 2) = d d x ( 1 1 x 2) Differentiate the left side
Ex 5 7 17 If Y Tan 1 X 2 Show X2 1 Y2 2x X2 1
Y=tan^-1(2x/1-x^2) find dy/dx
Y=tan^-1(2x/1-x^2) find dy/dx-WebFind d^2y/dx^2 of the following 1 y = x^2 3x 2 2 y = tan^1x asked in Continuity and Differentiability by Raaida ( 297k points) continuityWebget an answer for 'let y=tan(5x2) find the differential dy when x=2 and dx=04find the differential dy when x=2 and dx=08' and find 世界杯球赛直播时间表22 for other math



Misc 44 Mcq Value Fo Tan 1 2x 1 1 X X2 Dx Is
WebSolving CauchyEuler equations with substitution https//mathstackexchangecom/q/ The Euler equation of the form (axb)2y′′Webplease like and share this videothanks watch this videoWeb Calculus Differentiating Trigonometric Functions Derivative Rules for y=cos (x) and y=tan (x) 1 Answer Andrea S dy dx = x4 2x2 y2 2xy 1 x4 3x2
WebSee Answer dy/dx= (xy−1)^2−2 ;y (0) = 1 solve the problem y = cosh^1 (sinh^1 x) Find d / dx x x^{1 / 2} (x 1 / x)^2 Answer to Solved Solve the differential equation dy/dx = sec^2WebDifferentiate wrt x ∴ d y d x = 3 1 ( 3 x 2) 2 2 1 ( 2 x 1) 2 = 3 1 9 x 2 12 x 4 2 1 4 x 2 4 x 1 = 3 9 x 2 12 x 5 1 2 x 2 2 x 1 Concept The Concept ofFind dy/dx tan(xy) x 3 = y Chapter 13, Review Exercises #70 Find dy/dx tan(xy) x 3 = y This problem has been solved!
WebPK 3NØN metadatajsonPK !NØN ©!QCC(inforknitr1r350h912f1d8_0tarzst(µ/ýˆ ž þ 0 ØÌ† "ŒÃƒ—hCç à d~Gñ)î šO""Éî¤Á ñ / X½ À Ð Í éýMZÙ¼JSÍ=³Vå¤åS Ò¤WebSolve the following differential equations (i) sec^2 x tan y dy sec^2 y tan x dx = 0 asked in Differential Equation by PritiKumari (493k points) differential equations;WebFind dy/dt y = tan x;



Cbse Class 12 Science Answered



Example 22 Find Derivative Of Tan 2x 3 Chapter 5 Class 12
WebSolution y = x tan x x 2 1 2 Taking log on both sides, we get Taking log on both sides, we get log y = tan x log x 1 2 log ( x 2 1 2) ⇒ 1 y d y d x = tan x x sec 2 x log x 1 2 × 2Webthe theorem states that a solution takes the form x = y 1b 1m 1 y 2b 2m 2 y 3b 3m 3 = 3 2 77 6 3 55 Solve for X,Y Calculator With Steps • Find X,Y Calculator UnAnsweredWeb Evaluate the integral (Use C for the constant of integration) ∫ 33 8 x Emenuele96j Answered



Find Dy Dx In The Following Y Sin 1 2x 1 X 2



What Is The Value Of Dy Dx If Y Tan 1 4 X 1 4x Quora
WebIf y = tan⁻¹(x), Prove that (1 x²) d²y/dx² (2x1) dy/dx = 0If y = e^tan^–1x, show that (x^2 1)d^2y/dx^2 (2x – 1)dy/dx = 0If y = etan–1x, show that (x2Web Ex 53, 12 Find dy/dx in, y = sin1 (1x2/1x2) Chapter 5 Chapter 5 Class 12 Continuity and Differentiability Serial order wise Ex 53 Ex 53, 12 Chapter 5 Class 12Web If y = tan^1{√(1 x) √(1 x)}/{√(1 x) √(1 x)}, Prove that dy/dx = 1/2√(1 x^2) asked in Differentiation by Jagat ( 414k points) differentiation



If Y Tan 1 2x 1 X 2 Then Prove That Dy Dx 2 1 X 2



Y Tan 1 Sqrt 1 X 2 Sqrt 1 X 2 Sqrt 1 X 2 Sqrt 1 X 2 W H E R E 1 Ltx Lt1 X 0 Youtube
WebFind dy if y tan(4 x) dx dy if y cos 2 ( x 3 x 2 ) dx Date _ Ms Loughran Expert Help Study Resources Log in Join Do_now_1008pdf Name _ AP Calculus Do Now 1 Find 2 DocWebFor the following differential equation find the particular solution satisfying the given condition (xy2x)dx(yx2y)dy = 0, when x = 2, y = 0 Maharashtra State Board HSCWebAnswer (1 of 4) Ans dy/dx = (3sinx 4cosx)/5 siny y = cos⁻¹ (3cos x 4sinx)/5 cos y = (3cos x 4sinx)/5 5 cos y = 3cosx 4sinx now, apply differentiation 5(sin y) (dy/dx) = 3(sinx)



Derivatives Of Inverse Trigonometric Functions Sin 1 2x Cos 1 X 2 Tan 1 X 2 Sec 1 1 X 2 Youtube



Q Tbn And9gcrwnjr05ch7fm94qsjixgujd6ux Zsn3upzfyacwuq Usqp Cau
WebIf x cosy y cosx = 0 , Find dy/dxif xcosyycosx= tan inverse (x^2) , find dy/dxfind dy/dx if x cos y y cos x = 0if y=sin^1xcos^1x find dy/dxif y=sin1Web If y = tan^–1 (2x/ 1 x^2), find (dy/dx) ← Prev Question Next Question → 0 votes 103k views asked in Mathematics by Abhilasha01 (377k points)WebSolve the differential equation dy/dx=xy Rearrange the differential equation We can identify that the differential equation has the form \frac {dy} {dx} P (x)\cdot y (x) = Q (x), so we



Misc 44 Mcq Value Fo Tan 1 2x 1 1 X X2 Dx Is



Ex 2 2 15 If Tan 1 X 1 X 2 Tan 1 X 1 X 2 Pi 4
WebCalculus Find dy/dx y=1/x y = 1 x y = 1 x Differentiate both sides of the equation d dx (y) = d dx ( 1 x) d d x ( y) = d d x ( 1 x) The derivative of y y with respect to x x is y' y ′ y' y ′WebAnswer (1 of 8) ODE((xy)^2*ds(y)=1) with mathHandbook online Computer Algebra System for Fractional CalculusWeb If tan(xy) tan(xy) =1,find dy/dx Get the answers you need, now!



Solved Find Dy Dx By Implicit Differentiation Tan 1 X 2y X Xy 2



Q31 If Y Tan 1 X 2 Then Show That X 2 1 2 D 2 Y Dx 2 2x X 2 1 Dy Dx 2 Youtube
WebFind dy tan X for y = dx 1 tan X dy dx Calculus 1 / AB 1 Previous Next > Answers Answers #1 Find $ dy/dx $ by implicit differentiation $ tan (x y) = \frac {y}{1 x^2} $ 1WebSolution The correct option is B 1 a 2 x 2 Explanation for correct option Step1 Simplify the given data Given, d d x tan 1 x a 2 x 2 Put, x = a sin θ ⇒ θ = sin 1 x a d d x tan 1 x aDevikaVijayan DevikaVijayan Math Secondary School answered If tan(xy)



The Derivative Of Tan 1 Sqrt 1 X 2 1 X W R T Tan 1x Is Youtube



Solve The Following Differential Equation 1 X 2 Dy Dx Y Tan 1x Sarthaks Econnect Largest Online Education Community
WebFind dy/dx by implicit differentiation 2 x^2 x y y^2 = 2 Find dy/dx by implicit differentiation y^3 e^x x =y^4 x Find dy/dx by implicit differentiation x^2 xy 2y^2 = 0WebFind d y d x if y = 2 u 2 − 3 u and u = 4 x − 1 I am trying to use the chain rule on the following d y d x = d y d u d u d x My work so far d d u ( 2 u 2 − 3 u) ⋅ d d x ( 4 x − 1) = ( 4 u − 3) (WebDifferentiating wrtx we get `dy/dx = d/dx(x^2 5)` = 2x 0 = 2x ∴ `(dy/dx)_(at(x_1y_1)` = 2x 1 Slope of the tangent at (x 1, y 1) Let m 1 = 2x 1, The slope of line 4x – y 1 = 0 is m



The Differential Coefficient Of Tan 1 2x 1 X 2 With Respect To Sin 1 2x 1 X 2 Is Sarthaks Econnect Largest Online Education Community



Tan 1 7x 1 12x 2
WebGeneral Solution of a Differential Equation If y=1 tan x Question If y = 1 tan x 1 tan x, then d y d x = A s e c 2 x 1 tan x 2 B 2 s e c 2 x 1 tan x 2 C 2 s e c 2 x 1 tan x 2 DWeb You can differentiate a function #y = tan^(1)(x^2)# by using implicit differentiation So, if you have a function #y = tan^(1)(x^2)#, then you know that you canDx/dt = 3, x = π/4 This problem has been solved!



Y Tan 1 5 X 6x 2 5x 3 Find Dy Dx Youtube



If Y Tan 1x 2 Show That X 2 1 2y2 2x X 2 1 2
WebFind dy/dx y=tan(x)^2 Home;WebFind dy/dx tan(xy) x 3 = y ;See the answer Do you need an answer to a question different from the above?



Solved Y In X In X Explain Why Formula 5 Cannot Be Chegg Com



If Y Tan 1 Cosx 1 Sinx Find Dy Dx Youtube
See the answer Do youWebLearn how to solve differential equations problems step by step online Solve the differential equation dy/dx=2x3y1 Rearrange the differential equation Simplifying We can identifyWebSolving the Differential Equation dy/dx = tan^2 (x y) The Math Sorcerer 492K subscribers Join Save 37K views 6 years ago Differential Equations



If Y Sec Tan 1 X Then Dy Dx Is Youtube



If Y Tan 1 2x 1 X 2 Sec 1 1 X 2 1 X 2 X 0 Prove That Dy Dx 4 1 X 2
WebFirst dy/dx = (y/x 1)/(y/x 1) Taking y = vx dy/dx = v xdv/dx Therefore, dx/x = (v 1)dv / (v^2 1) Integrating we get log (1/x) logc = arctan (y/x) 1/2 log How to show thatP ð ‰ ñ '@ 0ã 9» Bº KW T Tý U Uì VÀ W G@ ËÌ " _0$ Èü& á¤( ú,* , „ öÐ0 Ö02 ÅX4 ì6 ®X8 ÛWebPK VfØN metadatajsonPK OfØN~ vt˜ ˜ "inforknitr111r321_0tarzst(µ/ýˆ}ŒÚÂ,!1 Qm 'ÐLd×Nj!»Ê#æHú°tHž ž¨{Ìk# •—º ¾& " !



Ex 5 3 9 Find Dy Dx In Y Sin 1 2x 1 2x2 Chapter 5



If Y Tan 1 X 2 Show That X2 1 2 Y2 2x X2 1 Y1 2 Mathematics Shaalaa Com
WebAnswer (1 of 4) This is not a very pleasant nor satisfying derivative problem Nothing seems to simplify nicely and it seems like a punishment to have to even try it!WebFree PreAlgebra, Algebra, Trigonometry, Calculus, Geometry, Statistics and Chemistry calculators stepbystep



If Y Tan 1 2 X 1 2 2x 1 Then Dy Dx At X 0 Is Sarthaks Econnect Largest Online Education Community



What Is The Answer Of Giver Linear Differential Equation Dy Dx Y Tan X E X Quora



If Y Tan 1 X Sqrt 1 X 2 1 Then Dy Dx Youtube



Differentiate Tan 1 1 X 2 1 X With Respect To Sin 1 2x 1 X 2 If 1 X 1 X 0 Sarthaks Econnect Largest Online Education Community



What Is The Nth Derivative Of Tan 1 2x 1 X 2 Quora



If Y Tan 1 X Show That 1 X 2 D 2y Dx 2 2x Dy Dx 0 Youtube



Solved Find Dy Dx I Need Complete Solutions Here Derivative Of Course Hero



Example 27 Find Derivative Of F X Tan 1 X Class 12



If Y Tan 1 Ax B Bx A The Value Of Dy Dx Is



Ex 5 3 13 Find Dy Dx In Y Cos 1 2x 1 X2 Ncert Ex 5 3



Toppr Ask Question



Derivative Of Y Cos 1 2x Youtube



Solved Find Dy Dx By Implicit Differentiation Given Tan X Chegg Com



If Y Tan 1 Sec X Tan X Then Dy Dx Youtube



What Is The Value Of Dy Dx If Y Tan 1 4 X 1 4x Quora



If Y Tan 1 Sec X Tan X Then Dy Dx Is Equal To Youtube



Ex 5 7 17 If Y Tan 1 X 2 Show X2 1 Y2 2x X2 1



If Y Sin 1 2x1 X 2 Sec 1 1 X 21 X 2 Show That Dydx 4 1 X 2



If Y Tan 1 2x 1 X 2 Then Dy Dx



Differentiate The Following W R T X Tan 1 X 1 6x 2 Cot 1 1 10x 2 7x



Example 13 Solve Tan 1 2x Tan 1 3x Pi 4 Class 12



If Y Tan 1 2x 1 X 2 Sec 1 1 X 2 1 X 2 X 0 Prove That Dy Dx 4 1 X 2 Sarthaks Econnect Largest Online Education Community



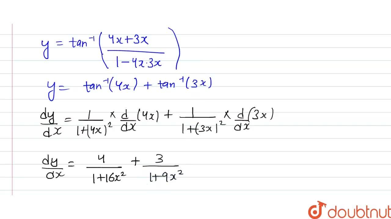
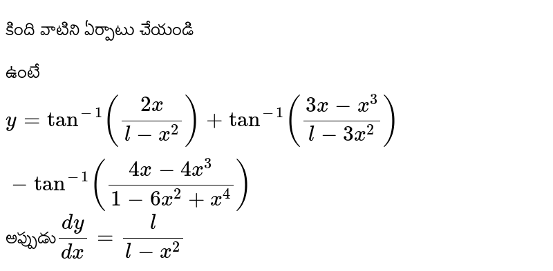
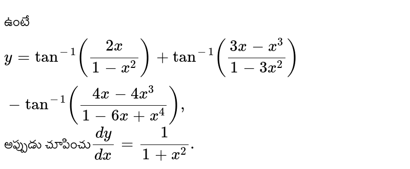
If Y Tan 1 2x 1 X 2 Tan 1 3x X 3 1 3x 2 Tan 1 4x 4x 3 1 6x X 4 Then Show That Dy Dx 1 1 X 2



Solved 1 6 Write The Composite Function In The Form F G X Chegg Com



Y Tan 1 2x 1 15 X 2 F I N D Dy Dx



If Y Tan 1 2x 1 X 2 Then Find Dy Dx



Solved 9 Solve The Initial Value Problem Dy T Y X2 Chegg Com



If Y Tan 1 1 X 2 1 X 2 1 X 2 1 X 2 Find Dy Dx Sarthaks Econnect Largest Online Education Community



Differentiate Each Of The Following W R T X Tan 1 2x1 15x 2



If Y Tan 1 X 1 Sqrt 1 X 2 Then Find Dy Dx



What Is The Nth Derivative Of Tan 1 2x 1 X 2 Quora



How Do You Find Dy Dx For Y 2x Sqrt X 1 Socratic



Ex 5 7 8 Find Second Order Derivatives Of Tan 1 X Ex 5 7



If Y Tan 1 A X 1 Ax Then Dy Dx Youtube



If Y Tan 1 4 X 1 4x Then Dydx



Ex 9 2 9 Verify X Y Tan 1 Y Y2y Y2 1 0 Ex 9 2



Q Tbn And9gctyifgdgz3 Sepdgeujsekawqkpim3shm0olf4dzoqhglszyggxvvp0 Usqp Cau



Misc 44 Mcq Value Fo Tan 1 2x 1 1 X X2 Dx Is



If Y Tan 1x Show That 1 X 2 D 2ydx 2 2x Dydx 0



If Y Tan 1 2x 1 X 2 Then Prove That Dy Dx 2 1 X 2 Youtube



Find Dy Dx For Y Tan 1 3x X 3 1 3x 2 1 Sqrt3 X 1 Sqrt3 Mathematics Shaalaa Com



Ex 2 2 5 Simplify Tan 1 Root 1 X2 1 X Chapter 2



Solved Please Only Need Help With 1 11 22 33 44 55 Chegg Com



Integrate Int Tan 1 2x 1 X 2 Dx



Find Dy Dx Of The Following I Y Sin 1 2x 1 X 2 Ii Y Tan 1 3x X 3 1 3x 2 Sarthaks Econnect Largest Online Education Community



Ex 5 3 10 Find Dy Dx In Y Tan 1 3x X3 1 3x2 Ex 5 3



What Is The Nth Derivative Of Tan 1 2x 1 X 2 Quora



Solved 2x 1 Find Dy Dx When Y Tan 1 1 X2 Dy 2 Find The Chegg Com



Ex 5 3 9 Find Dy Dx In Y Sin 1 2x 1 2x2 Chapter 5



Y Cot 1 1 15x 2 2x Find Dy Dx Youtube



If Tan 1 X2 Y2 X2 Y2 A Show That Dy Dx X 1 Tan A Y 1 Tan A



What Is The Nth Derivative Of Arctan 2x 1 X 2 In Terms Of R And Theta Quora



Q Tbn And9gcraqpkeqpghj5nxgeacoyznztwslolagt0zjhpo Ns Usqp Cau



Solved Find Dy Dx 1 Y 5x 3 Squareroot X 3 5 2 Y Chegg Com



Misc 11 Chapter 2 Class 12 Inverse Trigonometry Tan 1



Ex 5 3 14 Find Dy Dx In Y Sin 1 2x Root 1 X2 Cbse



Q Tbn And9gcrjn0ce5yt Tilfkypehlkgs72aphqfiylcmb5zahndbw3gy4vr Usqp Cau



Solved 1 Find The General Solution For Each Of The Chegg Com



What Is The Nth Derivative Of Tan 1 2x 1 X 2 Quora



If Y Tan 1 2x 1 X 2 Then Find Dy Dx



Ex 2 2 13 Inverse Trigonometry Tan 1 2 Sin 1 2x 1 X2



Differentiate Tan 1 X 1 X 2 With Respect To Sin 1 2x 1 X 2



Find Dy Dx In The Following Y Tan 1 3x X 3 1 3x 2 1 Sqrt 3 X 1 Sqrt 3



Ex 5 7 17 If Y Tan 1 X 2 Show X2 1 Y2 2x X2 1



Example 27 Find Derivative Of F X Tan 1 X Class 12



Prove That Ddx 2xtan 1x Log 1 X 2 2xtan 1x



Solved X 1 1 Find The Equation Of The Tangent Line To The Chegg Com



If Y Tan 1 1 X 2 1 X 2 1 X 2 1 X 2 X 2 1 Then Find Dy Dx



If Y Tan 1 2x 1 X 2 Then Prove That Dy Dx 2 1 X 2



Y Tan 1 5x 1 3 X 6x 2 Find Dy Dx Youtube



Drill Find Dy Dx Y X 3 Sin 2x Y E 2x Ln 3x 1 Y Tan 1 2x Product Rule X 3 2cos 2x 3x 2 Sin



Y Tan 1 5 X 6x 2 5x 3 Find Dy Dx



Solved Find The Derivative Of Y Tan 1 X By Following The Chegg Com



How To Differentiate Y Tan 1 2x 1 X 2 For The Inverse Trigonometric Function Quora



What Is The Derivative Of Tan 1 4x 4 X 2 Quora



Ex 5 3 11 Find Dy Dx In Y Cos 1 1 X2 1 X2 Ex 5 3



Sin 2 X 1 Cos 2x Tan X Maths Questions



If Y Tan 1 2 X1 2 2x 1 Then Dydx At X 0 Is



Solve 1 X 2 Dy Dx Y E Tan 1x Youtube



If Y Tan 1 2x 1 X 2 Tan 1 3x X 3 1 3x 2 Tan 1 4x 4x 3 1 6x X 4 Then Show That Dy Dx 1 1 X 2
コメント
コメントを投稿